H1 Understanding the Built Environment (ABPL10005) notes
Subject notes for UniMelb ABPL10005
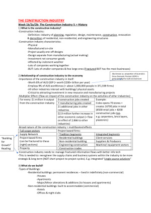
Description
These notes cover all the content for all weeks of ABPL10005: (Week 1 - 10) - Separated into subject sections and weekly sub-sections for easy access - Each week also has all readings integrated into them - Contains accompanying pictures and diagrams for easier understanding of the content (especially construction material and equipment) - Annotated with accompanying text boxes to add extra depth and understanding to particularly subtle/hard content Topics: - The Construction Industry - History of the Built Environment - Project Processes - Project Roles - Organisations and Teams - Materials and Equipment - Building Regulations - Project Procurement - Building Contracts - Project Management - Occupational Health & Safety - Technological Innovations - Information Technology - Sustainability *Tip to do well with these notes: try to memorize the contents of these notes because the ABPL exams place a lot of emphasis on remembering facts and memorization
UniMelb
Semester 1, 2020
47 pages
15,294 words
$34.00
35
Campus
UniMelb, Parkville
Member since
February 2020